Mindazonáltal útközben valahol elkezdtük elveszíteni az irányítást. Azok a technológiák, amelyekkel korábban a környezetünk felett akartunk uralkodni, ma már ránk hatnak negatívan: figyelemzavart okoznak, öngerjesztő, negatív spirálokat indítanak el, rossz szokásokat alakítanak ki, valamint rontják az alvásunk minőségét és időtartamát. A kényelemre épülő élelmiszerek térnyerése, azaz az ultrafeldolgozott, gyorsan hozzáférhető és olcsó termékek, valamint az intenzív mezőgazdaság és a talajkimerülés miatt az elmúlt évtizedekben csökkenő tápanyagtartalom oda vezetett, hogy ma hajlamosabbak vagyunk tápanyaghiányokra, mint az elmúlt ötven év bármely más időszakában. Bármilyen erős is az emberi elme, ahhoz, hogy valóban kibontakoztathassa a benne rejlő lehetőségeket, ápolásra és gondoskodásra van szüksége, márpedig jelenleg a legtöbben mindkettőből hiányt szenvedünk.
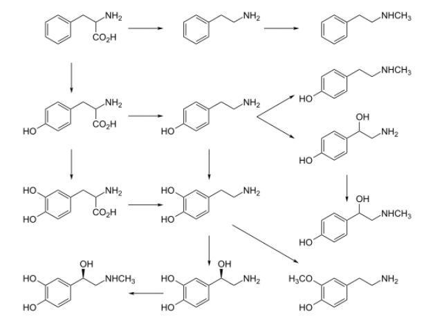
The biosynthetic pathways for the production of dopamine in the human body
A rossz egészségi állapot, a káros szokások és a minket körülvevő technológia hatásai szinergikusan működnek együtt, és egymást erősítve egyre súlyosabb következményeket okoznak. A feldolgozott élelmiszerekben gazdag étrend szegény az olyan létfontosságú tápanyagokban, mint a kolin, valamint az olyan aminosavakban, mint a tirozin, amely elengedhetetlen eleme az agyban zajló dopamin-bioszintézisnek. A dopaminhiány következtében elveszítjük a képességet, hogy élvezzük a hosszan tartó figyelmet igénylő tevékenységeket, mint például egy könyv olvasását vagy egy film megnézését. Ehelyett közösségi média videókat pörgetünk a végtelenségig, kétségbeesetten próbálva jobban érezni magunkat, de végül mindig kudarcot vallunk. Amikor abbahagyjuk a görgetést, elménk továbbra is aktív marad, ami megzavarja a pihentető alvást és a természetes anyagcsere-folyamatokat. Reggel, amikor megszólal az ébresztő, felkelünk, és újrakezdjük ezt az ördögi kört, miközben továbbra is azt kérdezzük magunktól: mikor lesz végre jobb? Mikor lehetek újra a régi önmagam?
A keserű igazság az, hogy a legtöbbünk számára a válasz gyakran tűnik annak, hogy „soha”. Elménk, amelyet nap mint nap túlfeszítve, kimerült állapotban kényszerítünk működésre, a testünk és agyunk öregedésének hatásait is megsínyli. Ez a folyamat, azaz az öregedés felgyorsulhat, ha hosszú távon is alacsony minőségű életmódban és étrendben élünk. Az Ageing Research Reviews orvostudományi folyóiratban 2024-ben megjelent mérföldkőnek számító tanulmány megerősítette, hogy az Alzheimer-kór (a demencia vezető oka világszerte) valójában „3-as típusú cukorbetegség”, tehát egy előrehaladott anyagcsere-zavar, amelyet a fokozatosan súlyosbodó inzulinrezisztencia okoz, s amelynek következtében az agy szó szerint éhen hal, mivel egyre kevésbé képes hozzáférni a glükózhoz. Mivel az inzulinrezisztencia aránya várhatóan drámaian emelkedni fog az elkövetkező évtizedekben, a kilátások komorak, és ez még csak az étrendünk helyzete. A rossz alvás és a túlterheltség természetesen tovább rontja ezt a borús képet. Az összkép annyira aggasztó, hogy akik tisztában vannak a globális helyzettel, kétségbeesetten keresik a megoldást.

A bebörtönzött kriptomágnás, Sam Bankman-Fried „bölcs szavai”
„Megoldások” és azok hiányosságai
A ma elérhető vagy népszerű „megoldások” többsége nem sok értelmet nyer. Egyesek úgy próbálnak alkalmazkodni, hogy kevesebbet alszanak, vagy időnként teljesen kihagyják az alvást, amikor a terhek túl nagyok. Összességében, és különösen hosszú távon, ez rendkívül ostoba stratégia. Gondoljunk csak bele: mindenki tudja, hogy az alváshiányos állapotban végzett munka színvonala messze elmarad attól, amit kipihenten és motiváltan tudnánk nyújtani. Ráadásul számtalan neurológiai és orvostudományi kutatás egyértelműen bizonyította, hogy a krónikus alváshiány fokozatosan felhalmozódó idegrendszeri károsodást okoz. Az alvás az egészség egyik alapvető pillére. Ha azért áldozzuk fel, hogy lépést tartsunk a modern világ elvárásaival, azzal az ördöggel kötünk alkut, amit mi semmiképp sem ajánlunk.
Egy másik, úgynevezett „megoldás” a pszichoaktív szerek használata, hogy természetes korlátainkon túllépve többre legyünk képesek. Sokan azt gondolják, ez egy modern jelenség, amely a „tanulószerekhez” nyúló diákokhoz, vagy néhány elvetemült pénzügyi brókerhez köthető, mint a hírhedt Sam Bankman-Fried, az amfetaminrajongó és korábbi milliárdos, aki jelenleg huszonötéves börtönbüntetését tölti. A valóságban azonban ez az elképzelés, hogy tudatmódosítók segítségével tarthatjuk a tempót a mind bonyolultabbá és versengőbbé váló világgal, egyáltalán nem új. Újra és újra elmeséljük ezt a történetet, de a vége sosem változik.
Talán a legjobb példa Jordan Belfort esete, akinek önéletrajza, A Wall Street farkasa, 2013-ban készült el nagy sikerű hollywoodi filmadaptációként. Első nézésre klasszikus történetnek tűnik: a gőg, az arrogancia és a mértéktelenség meséje, amely végül az antihős látványos bukásába torkollik. Ha azonban tudósként nézzük, egészen másként hat. Belfort (akit Leonardo DiCaprio alakít) leépülése, aki nap mint nap többek között quaalude-ok, kokain, morfium, ambien, valium, xanax és alkohol keverékén élt, hogy egyáltalán működni tudjon, kétségkívül szórakoztató, de egyben tragikusan kiszámítható is.
Az idegtudomány és a gyógyszerészet jelenlegi tudományos konszenzusa szerint nincs olyan szer, amely akár 150%-ra vagy 200%-ra is képes lenne feltornázni a természetes teljesítményünket. Ez önnön definíciójukból eredően lehetetlen. Azok az anyagok, amelyeket Belfort tőzsdeügynökként rendszeresen használt, nem tették őt sem okosabbá, sem jobbá, sem termelékenyebbé. A stimuláns típusú drogok valójában úgy működnek, hogy ideiglenesen átrendezik az agy dopaminrendszerét: vagy a dopaminreceptor-aktivitást fokozzák, vagy gátolják a dopamin visszavételét a szinapszisokban, gyakran mindkettőt egyszerre. Az eredmény nem egy „okosabb” elme, hanem egy idegen elme: olyan, amelynek prioritásai, érdeklődése és céljai már nem a mieink. Fontos megérteni, hogy a droghasználat valójában nem tesz minket „menőbbé”, „jobbbá” vagy „okosabbá”. Ehelyett a neurobiológiánkat manipulálja, hogy torz, hamis képet lássunk önmagunkról és a teljesítményünkről.

A hideg, nyers valóság, ahogyan azt A Wall Street farkasa című könyv bemutatja, amelyre a film is épült
Az igazi önmagunk megtalálása a legjobb önmagunk megtalálása
Bevalljuk, hogy a kilátások meglehetősen borúsak. Próbáljuk a legjobbat kihozni magunkból egy olyan világban, amelyben a modern étrend, a rossz alvás, a technológiai függőség és sok más tényező hátráltat és visszahúz minket. Továbbá láthatjuk, hogy a törvényellenes, pszichoaktív szerek sem képesek eljuttatni minket onnan, ahol most vagyunk, oda, ahová szeretnénk eljutni. Ezt mindannyian tudjuk, és mégis, paradox módon, sokszor csak a rossz hírek tartanak minket életben: ez a keserédes irónia csúcsa. De vajon megtörhető valahol ez a körforgás?
Richard Thaler és Cass Sunstein 2008-as viselkedéstudományi bestsellere, a Nudge („Bökés”) pszichológiai és neurobiológiai kutatásokra támaszkodva mutatja be, hogy a tartós változás nem a puszta akaraterőre épülő, drasztikus átalakulásokból fakad, különösen nem azokból, amelyek tudatmódosító szerekre épülnek, és súlyos árat fizettetnek testünkkel, agyunkkal és józanságunkkal. Ehelyett azt bizonyítják, hogy a valódi változás finom, környezetünket érintő módosításokból ered: apró döntési helyzetekből, amelyek segítenek megkülönböztetni, mi számít igazán, és mi kevésbé, és amelyek végül elvezetnek bennünket attól, akik most vagyunk, ahhoz, akiknek születtünk. Az általuk bevezetett alapelv, a „választási architektúra”, azon a felismerésen alapul, hogy az ember nem tökéletesen racionális lény: elfoglaltak, fáradtak, figyelmetlenek vagyunk, gyakran alultápláltak, és sokszor automata üzemmódban működünk. Éppen ezért a leghatékonyabb egészségügyi beavatkozások nem a leglátványosabbak vagy legszélsőségesebbek, hanem azok, amelyek észrevétlenül illeszkednek a mindennapi rutinba, és fokozatosan emelik teljesítményünket az aktuális 50%-ról arra a 100%-ra, amit megérdemlünk.
A lumiblunál új megoldással álltunk elő, olyannal, amely nem torzítja el az elmédet, nem rontja a kognitív működésedet, és nem módosítja az önazonosságodat, hanem épp ellenkezőleg: mindent megad, amire szükséged van ahhoz, hogy a legjobb önmagadként teljesíts, testileg, szellemileg és mentálisan egyaránt. Zászlóshajónk, a lumiblu. FOCUS, szakértőink csapata által megalkotott, tudományosan megalapozott alternatíva a gyenge és félmegoldásokat kínáló termékekkel szemben.
A FOCUS olyan létfontosságú, biológiailag támogató tápanyagokat biztosít, mint a CDP-kolin és a kolin-bitartarát, pontosan kiegyensúlyozott arányban, hogy az agy homloklebenye megkapja a megfelelő kolinerg támogatást egy megterhelő nap során. A dopaminerg működés támogatására L-tirozint is tartalmaz, amely a dopamin természetes bioszintézisének előanyaga, így a motivációd és a figyelmed ott lesz erős, ahol valóban szükség van rá, segítve, hogy arra összpontosíts, amire te szeretnél.
Amikor úgy kezded a napod, hogy megadod testednek és agyadnak mindazt, amire valóban szüksége van: olyan tápanyagokat, amelyek a tiszta gondolkodást, a nyugalmat és az ellenállóképességet támogatják, akkor nem csupán kipipálsz egy feladatot. Ezzel egy pozitív láncreakciót indítasz el: a jobb fókusz jobb munkához vezet, a jobb munka csökkenti a stresszt, a kevesebb stressz javítja az alvást, a jobb alvás pedig a hangulatot és az energiaszintet, ami másnap még jobb döntésekhez segít. Az eredmény egy önmagát erősítő, felfelé ívelő spirál viselkedésben és biológiában egyaránt, amelyet egyetlen egyszerű, mégis tartós szokás indít el. Ez a jó „bökés”, és a mi szakértőink által megalkotott étrendkiegészítők valódi ereje.
A lumiblu küldetése, hogy mindent megadjon neked ahhoz, hogy önmagad legoptimálisabb verziója lehess, bármi is jöjjön, bármilyen kihívással is nézz szembe. Maradj velünk, és dolgozzunk együtt az egyetlen igazán fontos küldetésen: hogy olyan tisztasággal és harmóniával éljük az életünket, amilyet csak egy teljesen optimalizált elme képes megteremteni.